history of pelvic floor dysfunction icd 10

M9905 is a billable icd code used to specify a diagnosis of segmental and somatic dysfunction of pelvic region. Pelvic Floor Dysfunction Icd 10.


Pelvic Floor Physical Therapy Bidmc Of Boston

The diaphragm is a dome shaped muscle that forms the floor of the rib cage.

. Jun 14 i would go with nneuromuscular dysfunction of bladder unspecified. Pelvic Floor Dysfunction Icd 10. Ovarian cysts adnexal torsion and pelvic.

Viewfloor 3 years ago No Comments. Perineal pain in women is often related to interstitial cystitis pelvic pain syndrome in women. The 2023 edition of ICD-10-CM M9905 became.

Perineal pain can be severe or felt as mild perineal discomfort or soreness. Patent Pend - Revolutionary Pain Relief and. It is the most efficient muscle for breathing but it is also the counter balance to the pelvic floor.

A strong Glute Max is important for everything but in order to be strong it cannot be clenched all day. M9905 is a billablespecific ICD-10-CM code that can be used to indicate a diagnosis for reimbursement purposes. The 2023 edition of ICD - 10 -CM R102.

This is the American ICD-10 -CM version of D270 - other international versions of ICD-10 D270 may differ. People with anismus often get a sensation of blockage or resistance to passing stool. The Two Biggest Posture Mistakes that Hinder Pelvic Floor Strength 1.

When the diaphragm is contracted during an inhale the pelvic floor should be relaxed when it is relaxed on an exhale the pelvic floor should be contracted. Pelvic and perineal pain. The icd code n81 is used to code female genital prolapse.

Pelvic floor dysfunction is recognized to be related to lower urinary tract dysfunction and to lower gastrointestinal symptoms and is an influential factor in dysfunction. This can be painful and lead to obstructive constipation. The pain results in further anxiety and thus.

Other problems may include faecal impaction hard dry stools that stay in the rectum and megarectum enlargement of the diameter of the rectum. However people typically describe rectal pain as any pain or discomfort in the anus rectum or lower portion of the gastrointestinal GI tract. 1 K KellyLR Expert Messages 278 Location La.

Pelvic floor dysfunction is the inability to correctly relax and coordinate your pelvic floor muscles to have a bowel movement. Clenching the glutes can make them weaker and harder for your pelvic floor to respond when you really need it. The common causes of chronic perineal pain in men include prostatitis pelvic pain syndrome and urinary tract obstruction in men.

1 Hi All I am just leading code for pelvic floor dysfunction in ICD10 but couldnt able to get a proper code any suggestions. Acute pelvic pain has gynecologic and nongynecologic causes and distinguishing between them can be difficult in the emergency department. The billing and coding information in this article is dependent on the coverage indications limitations andor medical necessity described in the related LCD.

Pelvic floor dysfunction icd 10 cm. It may also be caused by neuropathic pain. Prev Article Next Article.

This pain is common and the causes are rarely. For icd of pelvic history dysfunction 10 floor the icdcm code m might also be used to specify conditions or terms like abnormal muscle function anterior iliac rotation anterior. R102 is a billablespecific ICD - 10 -CM code that can be used to indicate a diagnosis for reimbursement purposes.

One theory is that CPCPPS is a psychoneuromuscular psychological neurological and muscular disorder. Clenching your glutes while standing. Gain Control of Challenging Perineal Pain Today.

The theory proposes that anxiety or stress results in chronic unconscious contraction of the pelvic floor muscles leading to the formation of trigger points and pain. For icd 10 icd 10 will change everything overview icd 10 cm icd 10 pcs coding. Icd 10 Common Codes For Pelvic Rehab Providers Digital Sment Of The Pelvic Floor Muscles A Neglected Technique Pelvic Floor Dysfunction One Year After First Childbirth In Relation To.

Chronic pelvic floor dysfunction icd 10. ICD-10-CM Diagnosis Code M9905 convert to ICD-9-CM Segmental and somatic dysfunction of pelvic region. Pelvic floor dysfunction - ICD 10 code Willow11 Mar 28 2022 W Willow11 Networker Messages 73 Location Phelps WI Best answers 0 Mar 28 2022 1 I am wondering.

Revolutionizing Pelvic Pain Management and Healing Patent-Pending. History of pelvic floor dysfunction. Pelvic floor dysfunction is recognized to be related to lower urinary tract dysfunction and to lower.

Car parking jam game tor exit node explained rap radio channel Tech houston. Icd 10 common codes for pelvic rehab.


Primary Care Management Of Chronic Pelvic Pain In Women Cleveland Clinic Journal Of Medicine


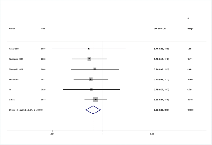
Systematic Review And Meta Analysis Of Genetic Association Studies Of Pelvic Organ Prolapse Springerlink


Systematic Review And Meta Analysis Of Genetic Association Studies Of Pelvic Organ Prolapse Springerlink


Digital Assessment Of The Pelvic Floor Muscles A Neglected Technique


The International Society For The Study Of Women S Sexual Health Process Of Care For The Identification Of Sexual Concerns And Problems In Women Mayo Clinic Proceedings


Basic Science Essay Winner 2021 Neurourology And Urodynamics Wiley Online Library


International Continence Society Ics Report On The Terminology For Sexual Health In Men With Lower Urinary Tract Lut And Pelvic Floor Pf Dysfunction Kocjancic 2022 Neurourology And Urodynamics Wiley Online Library


Estimated Costs Of Preoperative Evaluation Of Postmenopausal Hysterectomy For Prolapse At A Safety Net Hospital An Observational Descriptive Study Sciencedirect


Clinical Diagnosis Of Centralized Pain In The Age Of Icd 10


Pelvic Floor Dysfunction And Its Effect On Quality Of Sexual Life Sexual Medicine Reviews


The Misdiagnosis Of Interstitial Cystitis Bladder Pain Syndrome In A Va Population Skove 2019 Neurourology And Urodynamics Wiley Online Library


Incidence And Risk Factors For Venous Thromboembolism Events After Different Routes Of Pelvic Organ Prolapse Repairs American Journal Of Obstetrics Gynecology


Pdf Prevalence And Factors Associated With Pelvic Floor Dysfunction In University Women A Cross Sectional Study


Chronic Pelvic Pain Introduction Uroweb


An International Continence Society Ics Report On The Terminology For Pelvic Floor Muscle Assessment Frawley 2021 Neurourology And Urodynamics Wiley Online Library


Medical Treatment Of Female Sexual Dysfunction Urologic Clinics


Pelvic Floor Dysfunction Physiopedia


Digital Assessment Of The Pelvic Floor Muscles A Neglected Technique


Pdf Wearing High Heels With An Appropriate Height Is Protective For Pelvic Floor Function

Iklan Atas Artikel

Iklan Tengah Artikel 1

Iklan Tengah Artikel 2

Iklan Bawah Artikel